Tableaux de statistiques utiles

 

Page d'accueil

Coordonnées

Équipe de recherche

Publications

Collectes de données

Échelles

Cours

Liens pertinents

 

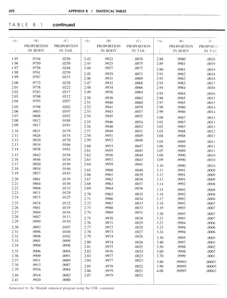
-Les probabilités de la courbe normale (scores Z)

        1de3

        2de3

        3de3

 -La distribution F

        1de3

        2de3

        3de3

-La distribution t

-La distribution du c2

-Le q pour Tukey (Studentized range statistic) 

 

Retour au site du cours

PSY3204 (Stats au niveau honor)

PSY6002 (Stats au niveau maîtrise/doctorat)